近日,2023级物理学专业硕士研究生奚滢同学以第一作者身份在国际物理学权威期刊《Physical Review A》上发表了题为“Spin squeezing in silicon-vacancy-center quantum systems with a non-Markovian thermal environment”的学术论文,通讯作者为公司马永红教授。mobile28365为论文第一单位。Physical Review A是美国物理学会(American Physical Society)主办的物理学术期刊之一,主要发表量子信息、原子分子物理及光物理相关的高水平前沿学术成果,是国际物理学界广泛认可的享有高度学术声誉的期刊之一。
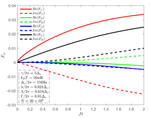
论文探讨了由硅空位色心和金刚石声波导组成的混合量子系统中自旋压缩的产生,该系统与有限温的非马尔可夫环境耦合。与依赖波恩-马尔可夫近似的传统方法不同,深入探讨了非马尔可夫动力学,这对于理解涉及强系统-环境相互作用或长程时间关联的重要物理过程至关重要。使用量子态扩散方法(QSD)推导非马尔可夫主方程,揭示了强烈的非马尔可夫特性能够显著改变自旋压缩的动力学行为。研究发现,环境的记忆时间可以显著增强自旋压缩的程度和范围。此外,诸如记忆效应、阻尼率、环境温度和总自旋数等参数在自旋压缩的产生中扮演着至关重要的角色。通过适当调整这些参数,可以显著增强量子系统的自旋压缩效应。这项研究为量子系统在复杂环境中的应用提供了理论基础和优化策略,例如在量子信息处理和量子精密测量中的应用。
该工作得到了国家自然科学基金和内蒙古自然科学基金的支持。论文链接:https://doi.org/10.1103/PhysRevA.110.052610
